復習備考
| 業務中心: | 0371-55696552 18037153049 |
您的當前位置:魯班培訓-一建培訓,二建培訓,監理,注冊安全工程師等 > 復習備考 > 模擬試卷 >
一級建造師《工程經濟》第一章真題特訓(3)
作者:魯班培訓 來源:魯班培訓 瀏覽: 添加日期:2016-06-04
1Z101000工程經濟真題特訓第三批
21.【2012年真題】某技術方案的總投資1500萬元,其中債務資金700萬元,技術方案在正常年份年利潤總額400萬元,所得稅100萬元,年折舊費80萬元,則該方案的資本金凈利潤率為( )。
A.26.7%
B.37.5%
C.42.9%
D.47.5%
【答案】B。
【解析】技術方案資本金凈利潤率(ROE)表示技術方案資本金的盈利水平。資本金凈利潤


22.【2012年真題】關于技術方案財務凈現值與基準收益率關系的說法,正確的是( )。
A.基準收益率越大,財務凈現值越小
B.基準收益率越大,財務凈現值越大
C.基準收益率越小,財務凈現值越小
D.兩者之間沒有關系
【答案】A。
【解析】財務凈現值是反映技術方案在計算期內盈利能力的動態評價指標。財務凈現值是
指用一個預定的基準收益率(或設定的折現率)iC,分別把整個計算期間內各年所發生的凈現


23.【2012年真題】技術方案的盈利能力越強,則該技術方案的( )越大。
A.投資回收期
B.盈虧平衡產量
C.速動比率
D.財務凈現值
【答案】D。
【解析】技術方案的盈利能力是指分析和測算擬定技術方案計算期的盈利能力和盈利水平。其主要分析指標包括方案的財務內部收益率和財務凈現值、資本金財務內部收益率、靜態投資回收期、總投資收益率和資本金凈利潤率等。盈利能力越強,意味著投資回收期越短,財務凈現值越大。
24.【2012年真題】某常規技術方案,FNPV(16%)=160萬元,FNPV(18%)=-80萬元,則方案的FIRR最有可能為( )。
A.15.98%
B.16.21%
C.17.33%
D.18.21%
【答案】C。
【解析】對常規技術方案,財務內部收益率的實質就是使技術方案在計算期內各年凈現金流量的現值累計等于零時的折現率。可采用試算法確定財務內部收益率:FIRR=16%+
25.【2012年真題】某技術方案的凈現金流量見下表,則該方案的靜態投資回收期為( )年。

A.3.25
B.3.75
C.4.25
D.4.75
【答案】D。
【解析】本題中某技術方案的累計凈現金流量見下表:

26.【2012年真題】某技術方案設計年產量為5000件,單位產品售價為2500元,單位產品變動成本為750元,單位產品的營業稅金及附加為370元,年固定成本為240萬元,該項目達到設計生產能力時的年稅前利潤為( )萬元。
A.450
B.135
C.635
D.825
【答案】A。
【解析】該項目達到設計生產能力時的年稅前利潤的計算過程如下:項目達到設計生產能力時的年稅前利潤=5000件×2500元/件-5000件×750元/件-5000件×370元/件-2400000元=4500000元=450萬元
27.【2012年真題】某設備6年前的原始成本為90000元,目前的賬面價值為30000元,現在的市場價值為16000元,則該設備的沉沒成本為( )元。
A.10000
B.14000
C.44000
D.60000
【答案】B。
【解析】沉沒成本的計算公式如下:
沉沒成本=設備賬面價值-當前市場價值
沉沒成本=(設備原值-歷年折舊費)-當前市場價值
本題中該設備的沉沒成本=30000元-16000元=14000元。
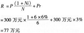
28.【2012年真題】某建筑公司融資租賃一臺施工設備,設備價格300萬元,租期為6年,每年年末支付租金,折現率為6%,附加率為3%。租賃保證金為30萬元,租賃保證金在租賃期滿時退還;擔保費為2萬元。租賃保證金和擔保費的時間價值忽略不計。則按附加率法計算的年租金為( )萬元。
A.68.0
B.77.0
C.79.0
D.81.6
【答案】B。
【解析】按附加率法計算的年租金為


29.【2012年真題】某施工現場鋼筋加工有兩個方案,均不需要增加投資。采用甲方案固定費用50萬元,每噸鋼筋加工的可變費用是300元;采用乙方案需固定費用90萬元,每噸鋼筋加工的可變費用是250元。現場需加工鋼筋1萬t,如果用折算費用法選擇方案,則( )。
A.應該選用乙方案
B.應該選用甲方案
C.甲乙兩個方案在經濟上均不可行
D.甲乙兩個方案的費用相同
【答案】A。
【解析】本題中運用折算費用法選擇方案的過程如下:
甲方案=(50+300×1)萬元=350萬元。
乙方案=(90+250 × 1)萬元=340萬元。
由于甲方案的折算總費用大于乙方案,表明乙方案在經濟上是可行的。
30.【2011年真題】某企業從金融機構借款100萬元,月利率1%,按月復利計息,每季度付息一次,則該企業一年需向金融機構支付利息( )萬元。
A.12.00
B.12.12
C.12.55
D.12.68
【答案】B。
【解析】本題中按月復利計息,每季付息一次,即季度利率為:(1+1%)3-1=3.03%,則企業一年需支付的利息為:(100×3.03%×4)萬元=12.12萬元。
魯班培訓河南分校-河南魯班培訓主營:建造師培訓、消防工程師培訓、造價工程師、監理工程師、安全工程師等建筑人才及企業人才培訓,建筑學歷(鄭州大學、電大),證書代辦,技工證、八大員、中級職稱代評等。
魯班培訓鄭州分校-鄭州魯班培訓官方唯一地址:鄭州市金水路與文化路交叉口向東50米路南建達大廈808、810室(新通橋站下車);
聯系電話:400-610-8299,0371-63281881,18137142639。
河南魯班培訓官網:www.irmmhpq.com

微信公眾號:henanlobn
鄭州




